欢迎来到金山职业技术学院! 电话(TEL):0511- 88361198 88020126 88020127
(教学部门)
 
 
 
 
首页 · 新闻公告 · 通知公告
 
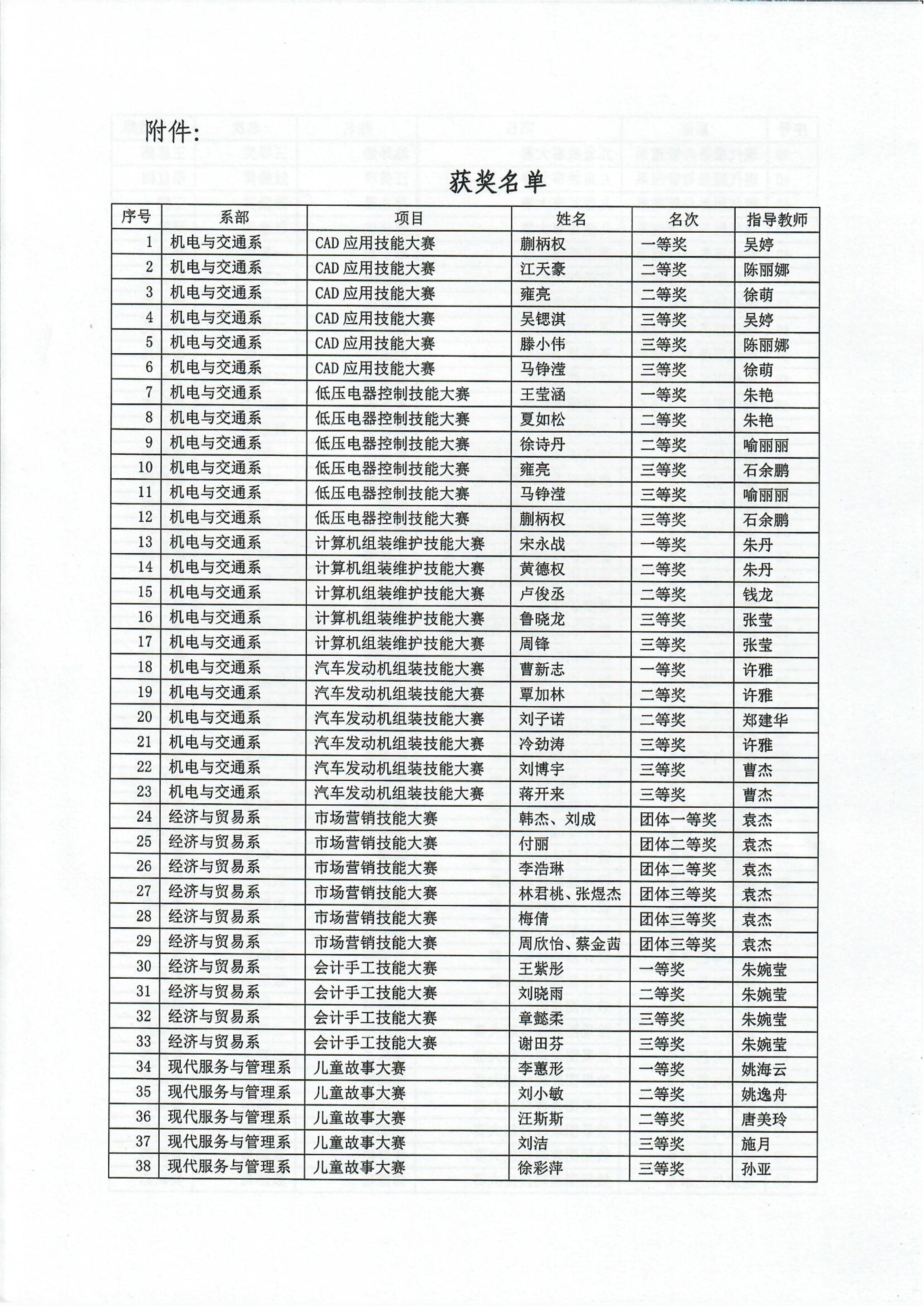
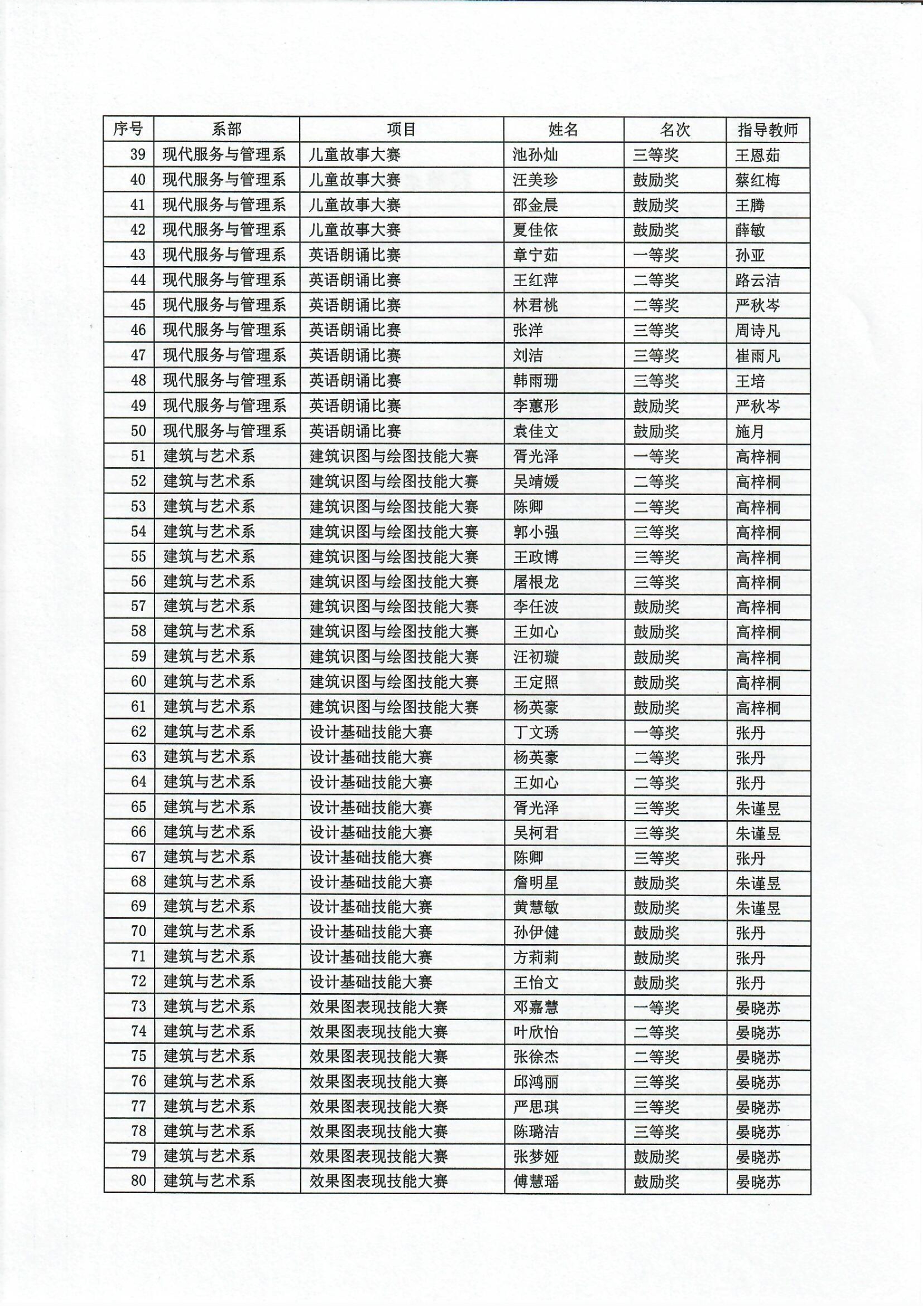
关于2020年学生职业技能大赛的表彰决定
发布时间:2021-01-13 10:12:04  发布人:admin  浏览量:93411

教务处_1.jpg

教务处_2.jpg

教务处_3.jpg

教务处_4.jpg

 
上一篇:关于组织教师参加2021年上半年江苏省高校教... 下一篇:关于公布2020年“教学活动月”奖励决定的通...
 
 
 

金山职业技术学院版权所有Copyright ©2017 Jinshan Vocational Technical @ College.All Rights Reserved.

地址:江苏省镇江市扬中金山路1号金山职业技术学院 | 邮编:212200 | 电话:0511-88020200 88020126 88020127 苏ICP备11004301号 制作维护:耐特网络